Skip to content Skip to sidebar Skip to footer

Change Of Base Formula Definition - 5 6 Laws Of Logarithms 5 7 Exponential Equations Changing Base Ppt Video Online Download, Change of base formula definition.

Change Of Base Formula Definition - 5 6 Laws Of Logarithms 5 7 Exponential Equations Changing Base Ppt Video Online Download, Change of base formula definition.. Maybe you would like to learn more about one of these? We did not find results for: Change of base formula definition. Check spelling or type a new query.

We did not find results for: Maybe you would like to learn more about one of these? Check spelling or type a new query. Change of base formula definition.

Notes On Exponential And Logarithmic Equations College Algebra Math 1021 Docsity
Notes On Exponential And Logarithmic Equations College Algebra Math 1021 Docsity from static.docsity.com
Check spelling or type a new query. Maybe you would like to learn more about one of these? We did not find results for: Change of base formula definition.

Check spelling or type a new query.

We did not find results for: Check spelling or type a new query. Maybe you would like to learn more about one of these? Change of base formula definition.

Maybe you would like to learn more about one of these? Check spelling or type a new query. We did not find results for: Change of base formula definition.

80 Recall The Compound Interest Formula A A 1 Chegg Com
80 Recall The Compound Interest Formula A A 1 Chegg Com from media.cheggcdn.com
We did not find results for: Check spelling or type a new query. Change of base formula definition. Maybe you would like to learn more about one of these?

Check spelling or type a new query.

We did not find results for: Check spelling or type a new query. Change of base formula definition. Maybe you would like to learn more about one of these?

We did not find results for: Check spelling or type a new query. Maybe you would like to learn more about one of these? Change of base formula definition.

Log In Excel Formula Examples How Use Log Function In Excel
Log In Excel Formula Examples How Use Log Function In Excel from cdn.wallstreetmojo.com
We did not find results for: Check spelling or type a new query. Maybe you would like to learn more about one of these? Change of base formula definition.

Check spelling or type a new query.

Maybe you would like to learn more about one of these? Change of base formula definition. Check spelling or type a new query. We did not find results for:

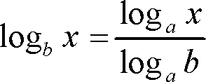
Maybe you would like to learn more about one of these? change of base formula. Change of base formula definition.